Сценарий игры (#74/27639) "СоляNочка" (rivne.en.cx)
Перейти к уровню:  №1, №2, №3, №4, №5, №6, №7, №8, №9, №10, №11, №12, №13, №14, №15, №16, №17, №18, №19
Уровень №1 "Заглушка"
Задание для всех
Вітаю всіх на солянці. Цей рівень для перевірки входження у гру.

На цьому рівні два сектори. Через 2 хвилини ви отримаєте підказку що являє собою код першого сектору. Код для закриття другого сектору прийде у вигляді зливної підказки через чотири хвилини.

Надіюся вам смакуватиме те що я приготував. До команд прохання уважно читати примітки про рівень шуму та світломаскування.

Тепер звернення як до штабу так і до поля, шановні, за підбір польових кодів буду бити по руцям в якості штрафу до зливу кодів ;) Виняток будуть становити коди в яких ви нечітко прочитали код, але надіюся з цим проблем не буде.

Коди можна вбивати як з префіксом так і без префіксу. В кодах кирилицею І=И, тобто будуть проходити з обидвома варіантами.
кінець


Подсказка №1 для всех (2 минуты)
У якості коду до першого сектору введіть кількість іноземних літер у назві сьогоднішньої гри.
кінець


Подсказка №2 для всех (4 минуты)
74enpaexali

Ответы
(для прохождения задания необходимо выполнить все сектора)
Перший сектор
1 - для всех
74en1 - для всех
Другий сектор
74enpaexali - для всех
paexali - для всех


Уровень №2 "Логіка"
Автопереход: через 10 минут 45 секунд

Задание для всех
На цьому завданні нікуди їхати не треба. Для переходу на наступний рівень введіть в поле для відповіді слово, яке я замінив словами ЦЕ та ЦЬОГО у іменному відмінку, у наступних реченнях.
Основний компонент у ЦЬОГО м'ясо, гриби, риба. Також в ЦЕ додають солоні огірки, квас, лимон, каперси і оливки, хоча останні пункти спочатку і не додавали, бо не було таких компонентів. ЦЕ містить багато пряностей, особливо петрушки і кропу. Кінець.

Формат відповіді: слово


Подсказка №1 для всех (3 минуты)
Це така собі суміш борщів та супів, з різноманітним наповненням. Кінець.

Подсказка №2 для всех (7 минут)
Згадайте назву гри та картинку анонсу. Кінець.

Подсказка №3 для всех (10 минут)
Солянка. Кінець.

Ответы
солянка - для всех


Уровень №3 "Заповідник"
Автопереход: через 19 минут 45 секунд

Задание для всех
Недавно їздив до одного заповіднику і бачив там схожу тварину у нас на одній з вулиць, хто б згадав її назву і звідки в неї та чудернацька шапка.

Код на металі, на куті. Знімається не виходячи з машини. Код продубльовано також навпроти першого коду, на товстій коричневій трубі.

На рівні дотримуватися тиші, у вінка будинків не світити. Кінець.


Подсказка №1 для всех (10 минут)
Це рідкісна тварина, представники якої живуть в Асканії Новій. А шапку ту носив, той хто дітей повчав. Кінець.

Подсказка №2 для всех (16 минут)
Шапка Мономаха. Кінь Пржевальского. Кінець

Подсказка №3 для всех (19 минут)
74enknyaz

Ответы
74enknyaz - для всех
knyaz - для всех


Уровень №4 "Побачення"
Автопереход: через 24 минуты 45 секунд

Задание для всех
Автор гри наразі розгрібає листи з шифровками, які йому люб'язно надіслали на протязі доби. І десь поруч лишив код на поштовому ящику. Кінець

Подсказка №1 для всех (7 минут)
Як ви думаєте, мабуть багато пошти прийшло за цілу добу? Кінець.

Подсказка №2 для всех (15 минут)
Могло бути і більше, добре що шлють її не всі 24 години Кінець

Подсказка №3 для всех (22 минуты)
Поштове відділення № 24 по вул. Кн.Острозького, 4/6
кінець


Подсказка №4 для всех (24 минуты)
74enletter

Ответы
74enletter - для всех
letter - для всех


Уровень №5 "Парування"
Автопереход: через 32 минуты

Задание для всех
АР ВП ПО УЕ ЗЇ ФВ СИ ФВ УЕ.

Дитяча площадка, коди на засобах пересування як на природних так і на штучних. На рівні вісім кодів. Всі знайдені коди потрібно вбити в систему. Вам потрібно вибрати з них три таких, які б пересікалися по принципу циклоїда - кожне слово починається на останні літери попереднього слова. Максимальне пересічення 2 літери.

Формат відповіді: мамалигарбузбек.
кінець


Подсказка №1 для всех (8 минут)
Для того щоб знайти місце вам із кожних 2-х літер потрібна одна, та яка між ними. Кінець.

Подсказка №2 для всех (13 минут)
Використовуйте клавіатуру вашого ноутбука чи компьютера для розгадки місця. Кінець.

Подсказка №3 для всех (20 минут)
АпР ВаП ПрО УкЕ ЗхЇ ФіВ СмИ ФіВ УкЕ. Коди на паротязі, машинках та віслюку (поні, конячці на що точно схоже не зрозуміло). Кінець.

Подсказка №4 для всех (25 минут)
Арка, бар, вовк, канат, лялька, пиво, стріла, бомба. Кінець.

Подсказка №5 для всех (30 минут)
Фінальний код - барканат. Кінець

Ответы
(для прохождения задания необходимо выполнить все сектора)
1
арка - для всех
2
бар - для всех
3
вовк - для всех
4
канат - для всех
5
лялька - для всех
6
пиво - для всех
7
стріла - для всех
8
макет - для всех
фінальний код
барканат - для всех


Уровень №6 "Відчуття"
Автопереход: через 30 минут 45 секунд

Задание для всех
Відкрийте конверт зі сторони "East".
Там знайдете карту можливого розташування міток. Шукайте 3 коди синім маркером біля потрібної мітки в радіусі 25 кроків на металі. Мітка - слово синім маркером в квадратних дужках з індексом гри. Мітки шукайте на лавках в межах виділеної червоним зони. Кінець.


Подсказка №1 для всех (15 минут)
Все потрібне для знаходження кодів у вас під носом. Кінець

Подсказка №2 для всех (20 минут)
Понюхайте карту. Якщо ж запах що лишився на карті вас ні до чого не приводить, то шукайте найслабшу ланку у знайденому вами "ланцюгу" Кінець.

Подсказка №3 для всех (25 минут)
Вам потрібна мітка [пиво]. Коди на вентиляції бомобосховища та люку до нього, зеленого кольору, у напрямку від мітки в сторону піцерії "Сицилія". Кінець.

Подсказка №4 для всех (30 минут)
74ensliv

Ответы
(для прохождения задания необходимо выполнить все сектора)
1
74enbova - для всех
bova - для всех
74ensliv - для всех
2
74enpiwo - для всех
piwo - для всех
74ensliv - для всех
3
74enaqua - для всех
74enaoua - для всех
aoua - для всех
aqua - для всех
aqua - для всех
74ensliv - для всех


Уровень №7 "Алхімія"
Автопереход: через 25 минут 45 секунд

Задание для всех
Повідали мені одну цікаву історію з життя нашого міста. Одного разу в Ровно 1961 року зустрілись дві людини і вперше в СРСР урочисто уклали між собою договір про те, що обов'язково зможуть зробити золото. Але тоді тоді вони були ще зовсім юними. Вони працювали рік за роком, і в них виходив то папір, то дерево, то мідь. Була жесть. Були ще сталь, скло і навіть срібло. І ось накінець в цьому році вже в незалежній Україні в Рівному у них вийшло золото.Один код на пластиковій водостічній трубі з правої сторони місця, де вони уклали угоду. Кінець

Подсказка №1 для всех (8 минут)
Папір – 2, дерево - 5, мідь – 7... Кінець

Подсказка №2 для всех (16 минут)
Це все назви весіль, вам потрібно місце де їх узаконюють. Кінець.

Подсказка №3 для всех (23 минуты)
Будинок Урочистих подій, пр. Миру, 14. Кінець.

Подсказка №4 для всех (25 минут)
74enbride

Ответы
74enbride - для всех
bride - для всех


Уровень №8 "Смак та запах"
Автопереход: через 25 минут 45 секунд

Задание для всех
Проходячи цією вулицею я відразу згадав той гіркуватий присмак, але мене одночасно поманило солодкувато-приторним запахом і я вже не знав чого мені більше хотілося чи гіркого чи солодкого. Рівень можна закрити знайшовши один з двох кодів на стовпах в радіусі 20 кроків біля головного входу. Кінець.

Подсказка №1 для всех (7 минут)
Цю рослину додають в напій щоб він став гірким. Кінець

Подсказка №2 для всех (13 минут)
Ще іноді кажуть що він вдарив в голову. Шукайте на вулиці заборонений діабетичний об’єкт. Кінець

Подсказка №3 для всех (18 минут)
Хміль вдарив в голову і захотілося цукерок. Кінець

Подсказка №4 для всех (22 минуты)
Вул. Хмільна,30, Рівненська кондитерська фабрика.

Подсказка №5 для всех (25 минут)
74encandy або 74encake

Ответы
74encandy - для всех
74encake - для всех
cake - для всех
candy - для всех
74encanoy - для всех
canoy - для всех


Уровень №9 "Логіка Вулиця"
Автопереход: через 12 минут 45 секунд

Задание для всех
Чудовий край Рівненщина, і є у нас 16 перлин, хоча не кожна заслуговує на таке звання. Іменем однієї, самої відомої залізницею та виробництвом будматеріалів названо вулицю. Назвіть цю вулицю в м. Рівне.

Формат відповіді: Абессинська
кінець


Подсказка №1 для всех (5 минут)
У нас в області 16 районів.
кінець


Подсказка №2 для всех (9 минут)
Цементний завод та вузлова станція.
кінець


Подсказка №3 для всех (12 минут)
Здолбунівська

Ответы
Здолбунівська - для всех
Здолбунивська - для всех
Zdolbunivska - для всех
Здолбуновская - для всех
Zdolbynivska - для всех
Zdolbunyvska - для всех


Уровень №10 "Доїзд ДворецькаПлатформа"
Задание для всех
Заїзджаємо зі сторони вул. С.Бандери. Код доїзду під табличкою "В'їзд №6" на вул. Здолбунівській.





Ответы
74enhorej - для всех
horej - для всех


Уровень №11 "Плеторим"
Автопереход: через 40 минут 45 секунд

Задание для всех
Знайдіть 4 правильні пари із 16 нанесених кодів (нанесення чорний маркер, метал). Вбивати два слова в поле в алфавітному порядку. Зона пошуку вліво від коду доїзду, якщо стояти спиною до ринку "Дикий" і до таблички "Платформа Дворецька" включно. За колію не переходити, всі коди із східної сторони платформи.

Формат відповіді: альфа бета.
кінець


Подсказка №1 для всех (15 минут)
Коди нанесено в таких місцях: синій забор, смітник, стовпи, дорожні знаки, сходинки біля критої зупинки, крита зупинка, металічні квадрати в фундаменті забору, знак "Платформа Дворецька". Кінець.

Подсказка №2 для всех (25 минут)
Правильні коди нанесено в таких місцях: початок синього забору, паралалепіпедний виступ навпроти смітників, стовп, приблизно по середині забору в зоні пошуку, 2 коди на дорожніх знаках з тильної сторони, на критій зупинці вище рівня очей (або на заборі навпроти зупинки), на знаку "Платформа Дворецька". Згадайте код доїзду, де використовується цей термін, він допоможе в логіці вирішення завдання. Кінець.

Подсказка №3 для всех (35 минут)
Офис, тумба, стул, тромб, портфель, румба, масса, касса, плуг, магазин, член, апломб, удар, запор, куча, упор. Проримуйте коди. Кінець.

Подсказка №4 для всех (40 минут)
Румба тумба; апломб тромб; касса масса; запор упор.

Ответы
(для прохождения задания необходимо выполнить все сектора)
1
румба тумба - для всех
2
апломб тромб - для всех
3
касса масса - для всех
4
запор упор - для всех


Уровень №12 "Логіка Вулиця №1"
Автопереход: через 12 минут 45 секунд

Задание для всех
Вам потрібно розгадати вулицю в місті, назва якої пов'язана з найстаршим з братів, які допомогли бідній дівчинці виконати примху одної злої жінки, яка доводилась їй родичкою. Хоча по факту він нікому не допомагав.

Формат відповіді: Панфіловців.
кінець


Подсказка №1 для всех (5 минут)
Братів було дванадцять, а жінка приходилась дівчинці мачухою. Кінець.

Подсказка №2 для всех (10 минут)
Останній місяць року. Кінець.

Подсказка №3 для всех (12 минут)
Декабристів

Ответы
Декабристів - для всех
Декабристив - для всех
Deakabrystiv - для всех
Dekabristiv - для всех
Dekabrustiv - для всех
Dekabrustyv - для всех
Dekabrystyv - для всех


Уровень №13 "Доїзд ПДМ"
Задание для всех
Навпроти будинку №3 по вул. Декабристів (заїзд з вул. Кн. Володимира ) знаходиться вхід в громадські туалети ПДМу.



Авто бажано ставити в місцях позначених червоним хрестиком. Маршрут на локацію позначено синім пунктиром. Не робіть собі проблему, заходячи до об'єкта в лобову, вас буде дуже помітно з будинків навпроти.

Код доїзду на вході в туалети, під міткою гри.
Місце входу помічено червоним балоном та міткою гри. Виходити тим же маршрутом що й заходити.

На рівні дотримуватися тиші, у вінка будинків навпроти не світити.

Будьте уважні одразу на спуску сніг з льдом, сміття та гівно.

кінець


Ответы
myaso - для всех
miaso - для всех
мясо - для всех
74enmyaso - для всех


Уровень №14 "Тупопошук"
Автопереход: через 45 минут 45 секунд

Задание для всех
На рівні 19 кодів. 18 кодів маркером (один чорним, всі інші синім) нумеровані, нанесення логічне. 1 код червоним балоном. Всі коди починаються на 74EN. Вбивати без 74EN. Пошук починати за останньою червоною стрілкою на стіні.

За стоп не заходити. Там кодів немає.
кінець


Подсказка №1 для всех (25 минут)
Коди написан по колу: в першій кімнаті на стіні по колу балоном; біля першого дверного проходу на рівіні підлоги та в коробці вимикача; біля надпису "Вася-хуліган"; в загальному пісуарі на ріві коліна з внутрішньої сторони; на дверному пройомі; за трубою; в електрощитку; в дірці в підлозі на цеглині; на вентиляції на рівні вище голови; на трубі під стелею; між кабінками на рівні підлоги; на трубі на рівні очей; на обломаному умивальнику; на товстій трубі вище рівня очей; на стіні на рівні закінчення плитки; на розетці; на дверній ручці; на плитці навпроти EN STOP.
кінець


Подсказка №2 для всех (45 минут)
74ENtupovse

Ответы
(для прохождения задания необходимо выполнить все сектора)
балон
74enboom - для всех
boom - для всех
74ENtupovse - для всех
1
74enstar1 - для всех
star1 - для всех
74ENtupovse - для всех
2
74enzip2 - для всех
zip2 - для всех
74ENtupovse - для всех
3
fik3 - для всех
74enfik3 - для всех
74ENtupovse - для всех
4
74enmue4 - для всех
mue4 - для всех
74ENtupovse - для всех
5
74enbaboon5 - для всех
baboon5 - для всех
74ENtupovse - для всех
6
74enelc6 - для всех
74enelg6 - для всех
elc6 - для всех
elg6 - для всех
74ENtupovse - для всех
7
74enahc7 - для всех
ahc7 - для всех
74ENtupovse - для всех
8
74enbak8 - для всех
bak8 - для всех
74ENtupovse - для всех
9
74enkuk9 - для всех
kuk9 - для всех
74ENtupovse - для всех
10
74entrk10 - для всех
trk10 - для всех
74ENtupovse - для всех
11
74enefi11 - для всех
efi11 - для всех
74ENtupovse - для всех
12
74enoqv12 - для всех
74endqv12 - для всех
oqv12 - для всех
dqv12 - для всех
74ENtupovse - для всех
13
74enmat13 - для всех
mat13 - для всех
74ENtupovse - для всех
14
kat14 - для всех
74enkat14 - для всех
74ENtupovse - для всех
15
74enwpz15 - для всех
wpz15 - для всех
74ENtupovse - для всех
16
74enmate16 - для всех
mate16 - для всех
tema16 - для всех
74entema16 - для всех
74ENtupovse - для всех
17
74ent17 - для всех
74eni17 - для всех
t17 - для всех
i17 - для всех
74ENtupovse - для всех
18
74enfinita18 - для всех
finita18 - для всех
74ENtupovse - для всех


Уровень №15 "Спортивна хімія"
Автопереход: через 23 минуты 45 секунд

Задание для всех
А тут я вирішив вас побалувати сумішшю спорту та хімії.




1 код в кінці вулиці на жовтій трубі. На вулицю не заїзджати. Кінець.


Подсказка №1 для всех (8 минут)
Згадайте як ще називаеться вуглець в хімії, і не забудьте скорочену назву призвіща цього спортсмена. Кінець.

Подсказка №2 для всех (15 минут)
Карбон. Шева. Кінець.

Подсказка №3 для всех (20 минут)
Вул. Карбишева

Подсказка №4 для всех (23 минуты)
74enfoot

Ответы
74enfoot - для всех
74enf00t - для всех
foot - для всех
f00t - для всех
74enf0ot - для всех
74enfo0t - для всех
f0ot - для всех
fo0t - для всех


Уровень №16 "Балкани"
Автопереход: через 25 минут 45 секунд

Задание для всех
Шукайте коло магазину одну із колишніх вітрин для реклами, в середині на металі схема з міткою гри.
Цей торговельний заклад являється коренем однойменної з ним вулиці, і знаходиться на сусідній вулиці до вулиці коренем якої являється магазин.
Відповіддю слугуватиме одне любе з пропущених слів кирилицею або латиницею.

Формат відповіді: slovo або слово
кінець


Подсказка №1 для всех (2 минуты)
Spacebar, caps lock, ctrl, alt, win. Кінець



Подсказка №2 для всех (5 минут)
Походження назви цієї вулиці завжди плутають з євпропейською столицею. Навіть ресторан отгрохали з назвою цієї столиці. Кінець

Подсказка №3 для всех (10 минут)
А плутають столицю Австрії с обласним центром у Болгарії. Кінець.

Подсказка №4 для всех (15 минут)
Магазин "Відін", вул. Курчатова, 3.
кінець


Подсказка №5 для всех (20 минут)
Вам допоможе клавіатура любого ПК чи ноутбука для розв'язання поставленої перед вами задачі.
кінець


Ответы
tab - для всех
табуляция - для всех
табуляція - для всех
caps lock - для всех
кепс лок - для всех
кепслок - для всех
пробіл - для всех
пробел - для всех
пробил - для всех
spacebar - для всех
alt - для всех
alt gr - для всех
alternative - для всех
альтернатива - для всех
win - для всех
вікно - для всех
окно - для всех
викно - для всех
ctrl - для всех
control - для всех
контроль - для всех
alternate - для всех


Уровень №17 "Чатовий"
Автопереход: через 27 минут

Задание для всех
Згідно зі ст. 235 Статуту гарнізонної та вартової служб Збройних Сил України чатовому заборонено сидіти, притулятися до чого-небудь, спати, розмовляти, їсти, пити, читати, писати, справляти природні потреби, передавати й приймати будь-які предмети, досилати без потреби патрон у патронник, заходити у зону роботи технічних засобів охорони. Фух, здається нічого з цих 13-ти пунктів не забув.
На загаданій вулиці вам потрібні 3 перших, з початку нумерації будинків, критих автобусних/тролейбусних зупинки. Вам потрібно зібрати по коду на кожній, та отримати з них любе трьохзначне число.
Формат кодів 74enбуквабуквабуквацифрабуква.
кінець


Подсказка №1 для всех (7 минут)
В цьому списку обовязків пропущено один пункт. Кінець.

Подсказка №2 для всех (15 минут)
Чатовому заборонено курити. Кінець.

Подсказка №3 для всех (20 минут)
Вул. Курчатова. З цифр в середині кодів складіть число. Кінець.

Подсказка №4 для всех (25 минут)
74enlmy3c
74enikr4w
74enefh9q


Ответы
(для прохождения задания необходимо выполнить все сектора)
1
74enlmy3c - для всех
lmy3c - для всех
2
74enikr4w - для всех
ikr4w - для всех
3
74enefh9q - для всех
efh9q - для всех
число
349 - для всех
943 - для всех
493 - для всех
439 - для всех
934 - для всех
394 - для всех


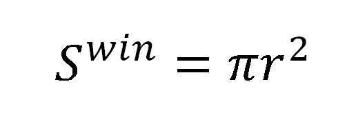
Уровень №18 "Геометрія"
Задание для всех


Шукайте автора гри на загаданому місці. Код переходу на слідуючий рівень на реквізиті, який вам видадуть.
кінець


Подсказка №1 для всех (7 минут)
Тут трошки геометрії і лінгвістики. Кінець.

Подсказка №2 для всех (15 минут)
Площа, коло. Спробуйте скористатися знаннями англійскої. Кінець.

Подсказка №3 для всех (20 минут)
Площа Перемоги. Агент чекає біля памятнику. Кінець.

Код рівня - 74enwin


Ответы
74enwin - для всех
win - для всех


Уровень №19 "Мило"
Задание для всех
Один код ви вже ввели з цього пристрою. А ось код для проходження цього фінішного рівня знайдіть самі.
кінець


Подсказка №1 для всех (5 минут)
Скористайтесь реквізитом оголошеним на гру. Кінець.

Подсказка №2 для всех (10 минут)
Візьміть голку/шило щоб відкрити CD-ROM. Кінець

Код рівня 74enCDR


Ответы
74encdr - для всех
74encor - для всех
cdr - для всех
cor - для всех